1. 掌握弯曲工艺计算方法;
2. 掌握弯曲模典型结构及特点;
3. 掌熟悉弯曲工艺与弯曲模设计的方法和步骤;
4. 了解弯曲变形规律及弯曲件质量的影响因素。
弯曲是将金属板料毛坯、型材、棒材或管材等按照设计要求的曲率或角度成形为所需形状零件的冲压工序。弯曲工序在生产中应用相当普遍。零件的种类很多,如汽车的纵梁、自行车车把、各种电器零件的支架、门窗铰链等,图3.0.1为常见的弯曲零件。

3.0.1常见的弯曲零件

(a)模具压弯;(b)折弯;(c)拉弯;(d)滚弯;(e)辊压
3.0.2 弯曲零件的成形方法
3.1 弯曲变形过程分析
3.1.1 弯曲变形过程
图3.1.1所示为板料在U形弯模与V形弯模中受力变形的基本情况。凸模对板料在作用点A处施加外力p(U型)或2p(V)型,则在凹模的支承点B处引起反力p,并形成弯曲力矩M=pa,这个弯曲力矩使板料产生弯曲。
图3.1.2是V型弯曲件的弯曲过程。弯曲开始时,模具的凸、凹模分别与板料在A、B 处相接触,使板料产生弯曲。在弯曲的开始阶段,弯曲圆角半径r很大,弯曲力矩很小, 仅引起材料的弹性弯曲变形。随着凸模进入凹模深度的增大,凹模与板料的接触处位置发生变化,支点B沿凹模斜面 不断下移,弯曲力臂l 逐渐减小,即ln<l3 <l 2 <l1 。同时弯曲圆角半径 r 亦逐渐减小,即 rn <r3 <r2 <r1 ,板料的弯曲变形程度进一步加大。接近行程终了时,弯曲半径r继续减小,而直边部分反而向凹模方向变形,直至板料与凸、凹模完全贴合。

3.1.1弯曲毛坯受力情况


图3.1.1 V形零件弯曲过程
3.1.2板料弯曲变形特点
为了观察板料弯曲时的金属流动情况,便于分析材料的变形特点,可以采用在弯曲前的板料侧表面用机械刻线或照相腐蚀制作正方形网格的方法。然后用工具观察并测量弯曲前后网格的尺寸和形状变化情况,如图3.1.3所示。
弯曲前,材料侧面线条均为直线 , 组成大小一致的正方形小格,纵向网格线长度。
弯曲后,通过观察网格形状的变化(图3.1.3b)可以看出弯曲变形具有以下特点:

图3.1.3 弯曲前后坐标网络的变化
1.弯曲圆角部分是弯曲变形的主要变形区
通过对网格的观察,弯曲圆角部分的网格发生了显著的变化,原来正方形网格变成了扇形;而在远离圆角的直边部分,则没有这种变化;在靠近圆角处的直边,有少量的变化,这说明弯曲变形区主要在圆角部分。通过不同角度的弯曲,会发现弯曲圆角半径越小,该变形区的网格变形越大。因此,弯曲变形程度可以用相对弯曲半径来表示(r/t)。
2.弯曲变形区的应变中性层
比较变形区内弯曲前后相应位置的网格线长度可知,板料的外区(靠凹模一侧),纵向纤维受拉而伸长;内区(靠凸模一侧),纵向纤维受压缩而缩短。内、外区至板料的中心,其缩短和伸长的程度逐渐变小。由于材料的连续性,在伸长和缩短两个变形区域之间,其中必定有一层金属纤维材料的长度在弯曲前后保持不变,这一金属层称为应变中性层(图中o-o层)。应变中性层长度的确定是今后进行弯曲件毛坯展开尺寸计算的重要依据。当弯曲变形程度很小时,应变中性层的位置基本上处于材料厚度的中心,但当弯曲变形程度较大时,可以发现应变中性层向材料内侧移动,变形量愈大,内移量愈大。
3. 变形区材料厚度变薄的现象
弯曲变形程度较大时,变形区外侧材料受拉伸长,使得厚度方向的材料减薄;变形区内侧材料受压,使得厚度方向的材料增厚。由于应变中性层位置的内移,外侧的减薄区域随之扩大,内侧的增厚区域逐渐缩小,外侧的减薄量大于内侧的增厚量,因此使弯曲变形区的材料厚度变薄。变形程度愈大,变薄现象愈严重。变薄后的厚度 t′ =ηt(η是变薄系数)。
4.变形区横断面的变形
板料的相对宽度B/t(B是板料的宽度,t是板料的厚度)对弯曲变形区的材料变形有很大影响。一般将相对宽度 B/t >3 的板料称为宽板,相对宽度B/t ≤ 3的称为窄板。
窄板弯曲时,宽度方向的变形不受约束。由于弯曲变形区外侧材料受拉引起板料宽度方向收缩,内侧材料受压引起板料宽度方向增厚,其横断面形状变成了外窄内宽的扇形(图3.1.4a)。变形区横断面形状尺寸发生改变称为畸变。
宽板弯曲时,在宽度方向的变形会受到相邻部分材料的制约,材料不易流动,因此其横断面形状变化较小,仅在两端会出现少量变形(图3.1.4b),由于相对于宽度尺寸而言数值较小,横断面形状基本保持为矩形。虽然宽板弯曲仅存在少量畸变,但是在某些弯曲件生产场合,如铰链加工制造,需要两个宽板弯曲件的配合时,这种畸变也会影响产品的质量。

(a)窄板,B/t ≤ 3;(b)宽板,B/t >3
图3.1.4弯曲变形区横断面的变形
3.1.3 弯曲时变形区的应力和应变
对于厚度为t的板材,在弯曲变形的初始阶段,弯曲力矩不大,变形区受最大压应力内层金属和受最大拉应力的外层金属,都没有达到屈服极限,仅产生弹性变形,其应力的分布见图3.1.5a。当弯矩继续增大,毛坯的曲率半径r变小,变形区内、外层金属首先进入塑性变形状态,,然后逐步从内、外层向板厚中心扩展(图3.1.5b、c)。

(a)弹性弯曲;(b)弹-塑性弯曲;(c)塑性弯曲
图3.1.5弯曲毛坯变形区的切向应力分布
1.弹性弯曲条件
在弹性弯曲时,受拉的外区与受压的内区以中性层为界,中性层正好通过毛坯的中间层,其切向应力应变为零。若弯曲内表面圆角半径为r,中性层的曲率半径为ρ=r+t/2,弯曲中心角为α,则距中性层y处(图3.1.6)的切向应变εθ为
(3.1.1)
切向应力为:

(3.1.2)
从上式可知,材料的切向应力σθ和切向应变εθ的大小只决定于y/ρ,与弯曲中心角无关。当变形不大,可以认为材料不变薄,且中性层仍在板料中间。板料变形区的内表层和外表层的切向应变与应力值(绝对值)最大,为:

(3.1.3)

(3.1.4)
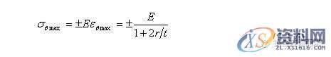
若材料的屈服应力为σs,则弹性弯曲的条件为:
即

或

(3.1.5)
式中相对弯曲半径r/t是弯曲变形程度的重要指标。当 r/t 减小到一定数值,即 r/ t=1/2(E/σs-1)时,板料内、外表层金属纤维首先屈服,开始塑性变形。

图3.1.6板料弯曲半径与弯曲中心角
2.塑性弯曲的应力应变状态
当弯曲变形程度较大,r/t<5时,板料上另外两个方向的应力应变值较大,不能忽略。变形区的应力和应变状态则为立体塑性弯曲应力应变状态。设板料弯曲变形区主应力和主应 变的三个方向为切向(σθ、εθ )、径向(σt、εt)、宽度方向(σΦ、εΦ)。根据宽板(B/t>3)和窄板(B/t≤3),变形区的应力应变状态归纳见3.1.1。

(1)应变状态
切向(长度方向)εθ:弯曲变形区外区金属纤维在切向拉应力的作用下受拉,产生伸长变形;内区金属纤维在切向压应力的作用下受压,产生压缩变形。并且该切向应变为绝对值最大的主应变。
径向(厚度方向)εt:根据体积不变条件可知,沿着板料的宽度和厚度方向,必然产生与绝对值最大的主应变εt(切向)符号相反的应变。在板料的外区,切向最大主应变为伸长应变,所以径向应变εt为压缩应变,而内区,切向最大主应变为压缩应变,所以径向方向的应变εt为伸长应变。
宽度方向εΦ:根据板料的相对宽度(B/t)不同,可分两种情况,对于窄板(B/t≤3),材料在宽度方向上可自由变形,所以在外区的应变εΦ为压应变,内区的应变εB为拉应变;而宽板(B/t>3),由于材料沿宽向流动受到阻碍,几乎不能变形,则内、外区在宽度方向的应变εΦ=0。
终上所述,窄板弯曲的应变状态是立体的,宽板弯曲的应变状态是平面的。
(2)应力状态
切向(长度方向)σθ:外区材料弯曲时受拉,切向应力为拉应力;内区材料弯曲时受压,切向应力为压应力。切向应力为绝对值最大的主应力。
径向(厚度方向)σt:外区材料在板厚方向产生压缩应变εt,因此材料有向曲率中心移近的倾向。越靠近板料外表面的材料,其切向的伸长应变εt越大,所以材料移向曲率中心的倾向也越大。这种不同的移动使纤维之间产生挤压,因而在料厚方向产生了径向压应力σt。同样在材料的内区,料厚方向的伸长应变εt受到外区材料向曲率中心移近的阻碍,也产生了径向压应力σt。该压应力在板表面为零,由表及里逐渐递增,中性层处达到最大。
宽度方向σΦ:窄板弯曲时,由于材料在宽度方向可自由变形,故内、外层应力接近于零(σΦ≈0)。宽板弯曲时,宽度方向上由于材料不能自由变形,外区宽度方向的收缩受阻,则外区有拉应力σΦ;;内区宽度方向的伸长都受到限制,则内区有压应力σΦ存在。
所以,窄板弯曲的应力状态是平面的,宽板弯曲的应力状态是立体的
我们是知识搬运工,我们是技术传播者!
东莞潇洒职业培训学校开设课程有:CNC数控编程、塑胶模具设计,压铸模具设计、冲压模具设计, Solidworks/pro/E产品设计、AutoformR7工艺分析,非标自动化设计、PLC编程、文职、电商、平面设计、新媒体等培训课程,潇洒职业培训学校线下、线上、随到随学等学习方式,上班学习两不误,欢迎预约免费试学!
联系电话:18029183455(微信同号)QQ:2799669782
线上免费试学: xsmj.ke.qq.com
1;所有标注为智造资料网zl.fbzzw.cn的内容均为本站所有,版权均属本站所有,若您需要引用、转载,必须注明来源及原文链接即可,如涉及大面积转载,请来信告知,获取《授权协议》。
2;本网站图片,文字之类版权申明,因为网站可以由注册用户自行上传图片或文字,本网站无法鉴别所上传图片或文字的知识版权,如果侵犯,请及时通知我们,本网站将在第一时间及时删除,相关侵权责任均由相应上传用户自行承担。
[complaint:内容投诉]
智造资料网打造智能制造3D图纸下载,在线视频,软件下载,在线问答综合平台 » 五金模具|弯曲工艺与弯曲模具设计,值得学习

