第二节 经典力学体系的建立
2.1 近代力学知识的积累
一.伽利略的力学贡献
近代力学产生之前,亚里士多德关于运动学的自然哲学理论占据统治地位达1900年之久。而亚里士多德的运动学大多属于哲学猜测与常识的混合物.特别是由于中世纪后期托马斯·阿奎那等人把他的著作奉为经典,而使他的错误的运动学理论成为严重束缚力学发展的桎梏。伽利略是在力学上第—个向亚里士多德提出挑战的科学革命家。
首先,伽利略驳斥了亚里士多德的落体理论。亚里士多德认为物体运动的快慢与运动物体自身的重量有关,并把这个思想用于落体运动。他指出,体积相等而重量不同的两个物体认同—高度自由落下时其速度比等于这些物体的重量比;比如,两物体重量比为1:10,则其下落速度比也是1:10。伽利略运用思想实验和归谬法反驳了这些错误理论。他指出,若两个重量、大小不同的物体捆在一起,其下落速度有两种相反的可能:(1)由于两物体总重量均大于其中任何一物重量,故捆在一起时下落速度比两物体中较重的物体单独下落时速度要快;(2)由于两物体一轻一重,捆在—起时较轻者牵制较重者的下落速度,因此联合体下落速度大于较轻者而小于较重者。通过分析相同比重物体在同一介质(如空气)中下落的种种情况和介质密度对物体下落的影响,以及经过“冲淡重力”斜面实验,伽利略最终得出三个结论:第一比重相同而重量不同的物体在空气中以同样的速度运动(下落);第二.在完全没有阻力的介质(即真空)中所有物体以同样速度作自由落体运动;第三,物体均以匀加速运动自由下落,而下落距离与时间的平方成比例地增加。据传伽利略作过比萨斜塔实验,但没有原始记录作证据。但在1586年以前,斯台文(SimonStevin,1548—1620)确实做过反驳亚里士多德观点的落体实验:从30英尺的高处,同时让两只铅球自由下落,其中一只是另-一只重量的10倍,而到达地面上发出的清晰响声好像是一个声音。
伽利略在《关于两种新科学的对话》(The dialogues concerning twonew sciences)中不仅反驳了亚里士多德的运动观念,而且讨论了匀速运动、加速运动、单摆和抛射体运动的规律。关于匀速运动,他给出了以下定义:“我们称运动是匀速的,是指在任何相等的时间间隔内通过相等的距离。”关于匀加速运动,则是指“运动质点在相等的时间间隔里获得相等的速率增量”。在这两个概念的基础上,再引入“合成速度”的概念,就可以容易地解释抛物体的运动。伽利略将抛物体运动分解为水平方向的匀速运动和垂直方向的匀加速运动,从而证明了意大利数学家塔尔塔利亚(Niccolo Tartaglia,1499~1557)早期的发现:抛物体仰角为45。时可有最大射程。他第一个成功地证明了炮弹的运动轨迹是一条抛物线。
伽利略在单摆实验和小球在相对的两斜面上滚下与滚上运动的实验中发现类似机械能守恒定律的思想,由此得出惯性的概念,从而否定了亚里士多德“力是运动原因”的错误,建立了“力是改变运动的原因” 的思想。这些思想连同他对匀速和匀加速运动的定义—起,为牛顿的运动第一和第二定律的最终表述奠定了基础。
伽利略通过对单摆的研究发现:单摆的摆动周期与振幅无关。传说这是1582—1583年他在比萨大学学习时,在比萨教堂观察吊灯时发现的。但据考证,比萨教堂的吊灯是1587年制造的,此时伽利略早已离开了比萨。但在1602年信件中他的确提到了单摆实验,而在《关于两种新科学的对话》中他详细地描述了这些实验及其结果,证明单摆周期不依赖于摆的重量和材料,而和摆的长度的平方根成比例。不过,单摆周期严格的表达式
是惠更斯首先提出的,其中T表示单摆周期,L表示单摆的摆长,g表示重力加速度,据说伽利略于1638年也得到了这一结果。
由于伽利略想要发现的不是物体为什么运动(降落),而是怎样运动(降落),并通过实验揭示厂其中的数学关系,这就使得从他开始,时间与空间在物理科学中具有了根本性的意义。不过,由于他认为惯性定律只有在水平面上才成立,因此他的力学停留在重力影响占绝对优势的地面力学上,而未能扩展到天体力学,只有笛卡儿和牛顿才把惯性定律作为普通的力学基本原理来把握。
二.开普勒三定律的发现
1609~1619间,德国天文学家开普勒(Johannes Kepler,1571~1630)利用他的老师、丹麦天文学家第谷·布拉赫(Tycho Brahe,1546~1601)遗赠的大量准确的观测数据研究行星运动的规律,先后发现了行星运动的三条定律,科学史上习称为开普勒三定律。
开普勒第一定律亦称行星轨道定律。这一定律指出,行星运行的轨道不是正圆形而是椭圆形,它们围绕各自椭圆轨道的一个焦点运行(椭圆有两个焦点),而这些焦点又都重合在一起,那就是太阳之所在。
开普勒第二定律又称行星运动面积定律,它指出在相等时间内行星与太阳联线所扫过的面积相等。
开普勒第三定律即行星运动周期定律,它指出任何两颗行星公转周期的平方与它们轨道长半径的立方成正比。
开普勒的工作以准确的观测数据为依据,他的结论无可争议。在西方流行了两千年的行星必定沿圆形轨道匀速运行的传统观念终于被打破了。开普勒因此被誉为“天空的立法者”。行星三定律的发现是天文学上又一重大突破。同时,它更进一步把天体运动的物理机制问题摆在人们面前:行星的运动轨道为什么是椭圆形?维持这些运动的力是什么?如此等等。开普勒的同辈人中曾有人猜测,太阳和行星可能是由于磁力作用而联系在一起的。在他们的启发下,开普勒提出了天体磁性引力假说。他考虑,既然地球是一块大磁石,太阳以及其他行星很可能也是大磁石,是太阳和行星之间的磁力作用使它们联系起来并且使行星围绕太阳沿椭圆形轨道运行。开普勒的假说虽然并不正确,但他揭开了天体力学研究的序幕。
三.惠更斯、胡克等人的贡献
同一个科学问题往往会由来自不同侧面的研究而得到解决,这种现象在科学史上很是常见。天体力学的问题得到了有关地面上的物体运动的研究成果的启发,这就是惠更斯和胡克等人的工作。惠更斯(ChristianHuygens,1629~1695)是荷兰科学家,他对物体围绕一个中心旋转的问题进行了研究,于1673年确认:一个围绕中心作匀速圆周运动的物体之所以不会沿切线方向飞去,是因为有一个向心力作用于该物体。这个向心力的大小与该物体的运动速率的平方成正比而与圆周的半径成反比,即向心力
(这里m是物体的质量,v是物体的旋转速率,r是圆周的半径)。这就使人们认识到,必定是太阳给了行星一个引力,这个引力作用于行星,使行星围绕太阳旋转。英国科学家胡克(Robert Hooke,1635~1703)就是这样想的。1674年他在一次演讲中说到,在太阳吸引行星的同时,行星也同样吸引着太阳,从而提出了物体之间有相互的吸引力的想法,他说这种引力与磁性无关。1680年他更提出了这种引力的大小与距离的平方成反比的猜测。但是,引力与距离平方成反比的猜测是否能与行星依椭圆形轨道绕太阳旋转的事实相一致?这个问题一时难住了许多人。
2.2 牛顿力学体系的建立
一.近代最伟大的科学家——牛顿
伊萨克·牛顿(Isaac Newton,1642一1727)诞生在一个农民家庭,幼年身体很弱。他12岁进入文科中学读书时就显示出制造机械工具及其模型的天才。中学毕业后,在舅父推荐下他进入剑桥大学三一学院深造。在念文学士学位过程中,他完全依靠自修而攻读了数学与光学的名著以及天文学和力学等方面的最新成果,并于1665~1666年在家乡躲避伦敦一带的瘟疫期间发明了二项式定理的流数法,实现了对光的分解,并向万有引力定律的建立迈出了头几步。鉴于他的数学天才,他的老师巴罗于39岁就毅然辞去“数学卢卡斯讲座”教授的职位而让牛顿接替。不久他制造了反射式望远镜。这促使天文学家瓦尔德于1671年提议选牛顿为皇家学会会员,并当即被通过人选。但牛顿的光微粒说却受到主张波动说的胡克的批评,由此引发了科学史上著名的波动说与微粒说之争。在此期间,他还发展了流数法,同时花费巨大精力研究引力问题,并于1684年将证明引力平方反比定律的手稿交给哈雷。在哈雷和皇家学会的推动下,他从此进入了对理论力学进行紧张研究的时期,并以1687年7月他的《自然哲学的数学原理》一书的出版而达到高潮。此后,牛顿还做过一些化学实验,可惜他的化学手稿于1692年的一次大火中与他的光学手稿一起被全部焚毁。加之他的《自然哲学的数学原理》不提上帝和蕴涵“反神创论”倾向受到宗教界和部分科学家的抨击和反对,以及胡克1692年向皇家学会提出万有引力定律发现权问题,导致性格孤僻而内向的牛顿因过度苦恼而神经哀弱以致失常。以后的牛顿除了从事货币改革、研究炼金术和注释圣经外,从1703年当选皇家学会主席至去世,还做过一个时期的议员。但近40年当中,他几乎没有什么突出的科学成就。牛顿以85岁高龄在主持一次皇家学会会议时突然发病,两周之后去世。他是英国历史上第一个获得国葬待遇的科家家。1731年牛顿的亲友在安葬牛顿的威斯敏斯特教堂建立了一座纪念碑,碑上刻着一首诗:“这里躺着牛顿爵土,他以超人的智力首先证明了行星的运动和图形、彗星的轨道和海洋的潮汐。他孜孜不倦地研究光线的各种折射率及其所产生颜色的种种性质。对于自然、考古和圣经是—位前所未有的勤奋、敏锐而忠实的诠释者。他的哲学中确认了上帝的尊严,他的行为中展现了真正的纯朴。让人类欢呼曾经生存过这样伟大的一位人类之光吧!”
二.牛顿经典力学体系的创立
牛顿经典力学体系,是以绝对化的四个基本概念空间、时间、质量、力为基础,以著名的三大定律为核心,以万有引力定律为最高的综合,用微积分来描述物体运动的因果律的一个结构严谨、逻辑严密、以实验和观察对结果进行验证的科学体系。《自然哲学的数学原理》就是这个体系的集中表现。
牛顿发现万有引力定律的过程前后历经20年之久。此间他受到当时一些著名物理学家(如哈雷和胡克)的帮助或启发;并借助了一些重要的天文观测结果,如皮卡特1679年关于纬度对应的地球表面长度的测定值,从而在伽利略地面力学和开普勒天体力学成就的基础上发现了万有引力定律。
牛顿有一句名言:“如果我比别人看得远些,那是因为我站在巨人们的肩上。”的确如此。作为万有引力定律概念基础之一的“离心力”、“向心力”思想早在1632年伽利略的《对话》中就提出来了。不仅如此,1666年牛顿还从伽利略的抛射体运动中得到启发,去思考“月亮为什么不下落”的问题。而作为万有引力定律概念基础之二的“引力平方反比”思想也早在1645年就为布里阿德所提出。牛顿的探索是在上述思考基础上,以1665~1666年离心力定律(
)的提出而宣告开始的。(这一定律在1673年也为惠更斯独立地得出。)紧接着,他从这一定律和开普勒第一与第三定律中推出了圆形轨道上天体的引力平方反比关系。1669年他又把圆轨道上的引力平方反比关系近似地用于行星的椭圆轨道的研究中,但是这种研究尚存重大的障碍和困难:其—,缺乏关于地球半径的足够精确的数据。其二,天体是实体,怎样来计算所有物体的任何部分所产生的吸引力的联合作用?其三,牛顿当时还不能肯定是否应该由地心开始计算月地距离,因为这牵涉到地球对月球的引力是否行同地球的全部质量都集中于地心。在经受一系列困难的折磨之后,牛顿于1684年利用皮卡特关于地球半径的测定值,成功地验证了在平方反比于距离的力作用下,行星必定在椭圆形轨道上运动。然后,在发现运动第二定律的基础上,把它用于万有引力问题,从而得出万有引力与相互作用物体的质量乘积的正比关系。最后于1685年春至1686年夏得出了关于重力或万有引力与质量乘积成正比、而与距离的平方成反比的完整表述,并发表在《自然哲学的数学原理》的第三编中。
运动三定律所描述的是物体(包括天体和地上的物体)力学运动的规律,它和万有引力定律一样是经典力学的基本定律。这些定律的确立虽然经过几代科学家的努力,但最终是由牛顿完成的。牛顿是经典力学的集大成者,所以经典力学又称牛顿力学。
运动第一定律 运动第一定律又称惯性定律。伽利略虽然提出了惯性运动的思想,但是他相信宇宙是一个球形的封闭的空间,因此不能设想一个无限大的平面。他所考虑的惯性运动是沿着地面的运动(其实是围绕地球的圆周运动),他对于向心力也还没有认识。牛顿突破了伽利略的局限,终于发现了惯性定律。
惯性定律指出:如果没有外力的作用,任何物体将保持其精致状态或匀速直线运动状态。这就是说,力是改变物体运动状态的原因,或者说,力是使物体的运动状态发生变化,即产生加速度的原因。当我们发现一个物体从静止变为运动,或者在运动中有加速、加速(可看作是负的加速),或者是运动方向发生变化时,就可以断定必有外力作用于这个物体。在自然界中,物体不受任何外力作用的情况实际上是不存在的,但只要它所受到的外力相互平衡,便可看作是外力为零,此时该物体或者是保持静止不动,或者是保持原油的运动状态。所以,如果我们看到一物体静止不动或者作匀速直线运动,我们就知道它没有受到外力作用或者作用在它上面的外力相互平衡(合力为零)。在日常生活中,物体的运动必受阻力(如摩擦力)的制约,要维持等速运动就得有一个力来克服阻力,这个力与阻力必定是大小相等而方向相反的,其实这时作用于该物的外力应视为零。人们往往只注意到要给物一个力来维持它的运动,却忽视了这个力的作用只在于与阻力相抵消而使其总的外力为零。
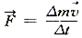
运动第二定律 运动第一定律所表述的是力的概念和力与物体运动关系的定性的认识,运动第二定律给我们展示的则是力与物体加速度之间的定量关系。
为了从量上考察力与物体加速度的关系,牛顿研究了比较简单的物体的碰撞运动,得出了这样的看法:碰撞运动中作用于一物体的外力与它的运动量的变化成正比。(他把物体的“运动量”定义为该物体的质量与它的速度的乘积。)在碰撞过程中冲力所引起的运动量变化是在极短时间内所产生的效应,牛顿把这个过程表述为

亦即 
也可以写成 
(
是碰撞时的作用力,
是作用的时间,
即运动量的改变量)
这个式子表明,物体运动量(亦称“动量”)的变化与作用力的大小成正比,力作用时间越长,它所产生的冲量
越大,物体的动量改变量就越大,物体动量的改变量=合外力的冲量,动量变化的方向与作用力的方向相同。对于匀加速运动,

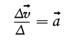
即单位时间里速度的变化,这也就是伽利略所引入的加速度的概念。于是,运动第二定律又可以写成

我们现在常用的就是这个表达式。
根据运动第二定律,我们就可以很容易解释为什么一切物体的自由下落都有相同的加速度了。对于自由落体而言,作用于该物体的力F就是地球对这个物体的万有引力。由万有引力定律,可知

(M是地球的质量,m是该物体的质量,R是地球的半径。)
依运动第二定律F=ma可得

从这里便可以看到,因为G、M和R都是常数,所以a也是一个常数。这就表明一切自由落体的加速度a都是相同的。通常我们用g来表示这个加速度,称为重力加速度。
有了运动第二定律,只要我们知道作用于一物体上的力,就可以据此求出此物体所获得的加速度,即可以知道这个力使该物体所产生的运动状态的变化(包括它的大小和方向);反之,如果我们知道一个物体的运动状态发生了某种变化,也就可以断定必有一个力作用于该物体,并且可以准确地计算出这个力(包括它的大小和方向)。力与物体运动状态变化互为因果,它们之间的关系是确定无疑的。
运动第三定律 运动第三定律也是在碰撞运动的研究中弄清楚的。惠更斯已经发现,若两个质量相等的小球以大小相等而方向相反的速度在同一直线上相向运动,在发生完全弹性碰撞后,这两个小球便以与原来大小相等的速率在该直线上相背运动。这就告诉我们,在碰撞前和碰撞后两个小球动量的变化量在数值上是相等的。我们假定第一个小球运动量的变化为:
,
第二个小球运动量的变化为:
。
已知 
可知 
两球碰撞时它们相互作用的时间是相同的,即
相等。根据运动第二定律就可以得出它们之间的作用力大小相等而方向相反的结论。牛顿据此进一步指出:当物体A施力于物体B时,物体B同时也施一反作用力于物体A,作用力与反作用力大小相等,方向相反,并且作用在同一条直线上。这就是牛顿所确立的运动第三定律。
运动第三定律告诉我们,自然界中没有孤立存在的单个的力,一个孤立的物体无所谓施力或受力,力总是存在于两个相互作用的实体之间,不管力是通过直接接触(如推力、拉力)还是不通过直接接触(如磁力、万有引力),它总是成对出现,同时出现,它们作用在一条直线上,大小相等,方向相反,这两个力分别施加于相互作用的两个物体之上,它们的力学效应并不互相抵消。
在日常生活中,我们很容易看到运动第三定律所描述的现象。例如我们用一根绳子牵一头牲口,就会感觉到这头牲口通过绳子在拉我们。但也有些时候我们容易产生错觉。比如物体自由下落,我们知道这是因为地球的引力作用于该物体的原故。其实,与此同时该物体也对地球施加一个大小相等方向相反的引力,不过比较起来地球的质量大得很多,这个物体对地球的引力显不出来罢了。月球围绕地球旋转是因为它受到地球给它的引力,月球同样也有一个大小相等方向相反的引力施加于地球。月球引力就是海洋潮汐现象产生的主要原因之一。
在发现万有引力定律和运动三定律的基础之上,牛顿仿效古希腊人的作法,把力学知识整理成为一个演绎知识体系,1687年出版了《自然哲学之数学原理》这部名著,标志着经典力学的成熟。
三.牛顿力学的重大历史意义
经典力学的成就在科学史上具有划时代的意义。它表明人类关于自然界的认识已推进到一个新的阶段,标志着自然科学已形成了自己独立的知识体系。
经典力学的科学意义
(1)经典力学彻底打破了亚里士多德学派严格区分月亮以上和月亮以下两个忖界的旧观念,杷天上和地上的运动统一了起夹.证明了万有引力辛律和活动三定律是宇宙间一切机械运动(即物体位置的变化)的普遍规律,从力学的角度论证了自然界的统一性,实现了人类对自然界认识的一次伟大的综合。
(2)经典力学把人们对机械运动的研究从运动学提高到动力学的水平。运动学只考虑物体运动的速度、加速度、时间、距离等因素及其关系,只能描述物体运动的过程和状态。动力学的任务则在于揭示物体运动的力学原因及其力学后果。在历史上,虽然亚里士多德曾经探讨过动力学的问题,但他走入了歧途。牛顿成功地完成了建造动力学的任务,从而使人们能够全面地把握机械运动的规律。
3)经典力学把对物体机械运动状态的描述与研究提高到瞬时状态的水平。过去人们只能把握运动的某一个过程,这对于处理匀速运动、匀加速运动(如自由落体运动)或加速度的大小不变而方向均匀变化的运动(如圆周运动)这类比较简单的运动尚可,对于加速度复杂变化的运动便无能为力。如今牛顿引进了微积分的方法,原则上便可处理任何复杂机械运动的过程与瞬时状态的问题。
(4)经典力学把原来只能孤立地研究的力学事件联系了起来,使它们成为因果的链条。运用经典力学,只要我们知道某物体的运动状态以及它在某时刻所受的力,就可以得知这个物体的运动状耷所要发生的变化。反之,如果我们发现某物体的运动状态发生变化以及它的变化状况,我们也就知道它受到一个力并且知道它受到的是什么样的力(包括它的大小和方向),而且也知道它必定对外界施加了一个什么样的力(包括它的大小和方向)。力与运动组成了一个无穷无尽的因果链条,这就大大地提高了我门对物体运动前因后果的认识,提高了我们的预见与推想的能力。
(5)我们说过,以往的自然知识都包容于自然哲学之中。虽然牛顿仍然把他的著作称为《自然哲学之数学原理》,但实际上它表明自然科学不仅已摆脱了神学的束缚,亦已从哲学中分化出来.开始建设自己的知识体系与科学思想和科学方法,表明自然科学已经成熟。
1;所有标注为智造资料网zl.fbzzw.cn的内容均为本站所有,版权均属本站所有,若您需要引用、转载,必须注明来源及原文链接即可,如涉及大面积转载,请来信告知,获取《授权协议》。
2;本网站图片,文字之类版权申明,因为网站可以由注册用户自行上传图片或文字,本网站无法鉴别所上传图片或文字的知识版权,如果侵犯,请及时通知我们,本网站将在第一时间及时删除,相关侵权责任均由相应上传用户自行承担。
[complaint:内容投诉]
智造资料网打造智能制造3D图纸下载,在线视频,软件下载,在线问答综合平台 » 科学技术史-2.2经典力学体系的建立(图文教程)

